RRB Technician 2025 Syllabus is published by Railway Recruitment Board. If you are preparing for RRB Technician Recruitment Test, then you can download the RRB Technician Syllabus PDF to prepare for exam. The syllabus of RRB Technician Recruitment Test indicates subjects and topics to study for the competitive exam. Therefore if you complete this exam syllabus and other aspects of RRB Technician Recruitment Test preparation, then you can aim to get good score and rank in RRB Technician 2025.
RRB Technician Syllabus 2025
What is RRB Technician Syllabus 2025?
The RRB Technician 2025 syllabus is the list of important topics, and chapters from which questions will be asked in RRB Technician Recruitment Test. The syllabus for RRB Technician is as follows.
RRB Technician 2025 Syllabus PDF Download Link – Click Here to Download Syllabus PDF
RRB Technician 2025 Syllabus PDF
The complete curriculum is as follows. Whether you go for RRB Technician coaching or study on your own, it is important to complete the syllabus for RRB Technician Recruitment Test. So you can download the RRB Technician syllabus PDF and refer it anytime during your course of preparation.
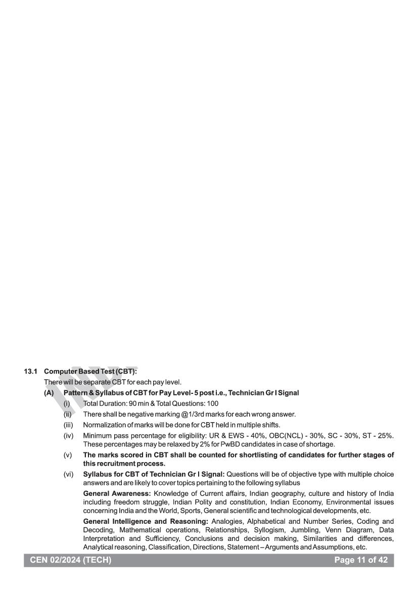
RRB Technician Syllabus 2024 View Download


RRB Technician Recruitment 2025
The Railway Recruitment Board (RRB) organizes a National level Recruitment exam by the name of Railway Recruitment Board Technician Recruitment 2025 (RRB Technician). Purpose of this test is to do recruitment for the posts of Technician Grade 1 Signal and Technician Grade 3 in the Indian Railways. You can prepare for this exam by studying the RRB Technician syllabus from recommended books, and solving previous year question papers of RRB Technician, sample papers. More about this exam is given here.
How to download RRB Technician Syllabus?
You can download the syllabus of RRB Technician 2025 from here on aglasem.com easily with following steps.
- Search RRB Technician 2025 syllabus aglasem and land on this page.
- Then click the link for syllabus for RRB Technician exam to open the document.
- After that click download PDF link for syllabus of RRB Technician Recruitment Test.
While you must study all topics given in syllabus of this Competitive exam. Also solve RRB Technician previous year question papers to see what types of questions to expect in exam conducted by RRB, and chapter wise weightage. Moreover study all topics of RRB Technician syllabus from RRB Technician 2025 Preparation Books.
RRB Technician Syllabus – An Overview
The important points about this Syllabus are as follows.
| Aspects | Details |
|---|---|
| Exam Name | RRB Technician |
| Full Form of RRB Technician | Railway Recruitment Board Technician Recruitment Test |
| Event Here | Syllabus of RRB Technician |
| More Details of This Exam | RRB Technician 2024 |
| Official Body for Exam and Admit Card | Railway Recruitment Board |
| Scale Of This Exam | National Level |
| Post Name | Technician (Grade 1 Signal and Grade 3) |
| Official Website for This Syllabus | indianrailways.gov.in |
If you have any queries on RRB Technician Syllabus 2025, then please ask in comments below.
